MoonNote

반응형
     

 

 

임피던스 매칭(Impedance Matching)이란,

하나의 입력과 출력단을 연결할 때 서로 다른 두 연결단의 임피던스 차에 의한 리플렉션을 줄이기 위해 입∙출력의 임피던스를 맞추어주는 작업을 말합니다. 임피던스란 교류 회로에서 리액턴스 성분까지 고려한 값이라고 하였는데요. 참고가 필요하신 분들은 지난번 포스팅을 한번 읽어보시길 바랍니다.

 

 

임피던스(Impedance, 온저항)와 리액턴스(Reactance, 반응저항)

임피던스(Impedance, 온저항)란, 임피던스란 회로에 전압이 인가되었을 때 전류의 흐름을 방해하는 값을 말하며 저항과 마찬가지로 단위는 옴[Ω]으로 표현하고 알파벳 Z를 사용하여 나타냅니다.

moonnote.tistory.com

 

따라서 임피던스 매칭은 '정합'이라고도하며 전력 손실 및 반사 손실을 최소화하기 위해 양쪽 임피던스를 중재할 무언가를 넣는 것이라고 보면 되는데요. 아래의 이미지는 임피던스 매칭에 대한 이미지이며 AC 회로에 연결된 모든 소스원과 임피던스의 합을 나누어 회로의 전류를 구할 수 있습니다.

임피던스 매칭(Impedance Matching)

 

 

최대 전력 전송 조건

위의 수식처럼 회로에서 전류를 구해본 이유는 바로 임피던스 매칭을 할 때 최대 전력을 가지고 정합 조건을 구할 수 있기 때문인데요. 처음에 저는 "내부 저항과 부하 저항이 같을 때 최적의 전력 상태가 된다."라는 말을 공식처럼 외웠습니다. 이번 시간에 왜 그런지 한번 증명을 해보겠습니다. 먼저 부하 임피던스의 유효 전력(Active Power)를 계산해보면 다음과 같은 수식으로 표현됩니다.

 

분모항이 줄어야 Active Power최대가 될 것입니다. 따라서 리액턴스 성분들이 서로 상쇄되어 없어진다고 생각해보면 P가 최대가 되는데요. (Resistance는 음수 값을 가질 수 없으니 상쇄될 수는 없습니다.) 이를 이용해서 첫번째로 다음과 같은 조건을 알 수 있습니다.

 

이를 적용하여 \(R_{L}\) 로 미분하면 최대 값을 찾을 수 있습니다.

따라서 두 레지스턴스 \(R_{s}=R_{L}\)이어야 한다는 조건을 얻을 수 있는데요. 종합해보면 최대 전력이 전달되기 위한 정합 조건은 Source Impedance와 Load Impedance가 켤레 복소수(Conjugate Complex)일 때 최대가 되는 것을 알 수 있습니다.

 

 

현실적으로 리액턴스 성분을 상쇄할 수 없다면?

 

 

이럴 경우 최대 전력이 어떻게 전달될지 한번 다시 계산해보면 \(\small R_{L}=\sqrt{R_{s}^{2}+(X_{s}+X_{L})^{2}}\) 조건을 갖게 됩니다.

 

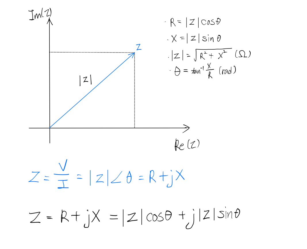
기본적으로 AC와 같은 주기적인 실수 신호는 페이저로 표현이 가능한데 아래의 이미지가 페이저로 표현한 것입니다.

 

이를 이용하여 유효 전력을 Load Impedance 크기로 미분하면,

 

결과론적으로 크기도 같아야 최대 전력이 전송됨을 알 수 있습니다.

 

 

 

 

 

※ 이 글이 도움이 되었다면 "🤍공감" 버튼을 클릭해주세요. 클릭 한번이 글 쓰는데 큰 힘이 됩니다.

공유하기

facebook twitter kakaoTalk kakaostory naver band