MoonNote

반응형

 

     

 

 

임피던스(Impedance, 온저항)란,

임피던스란 회로에 전압이 인가되었을 때 전류의 흐름을 방해하는 값을 말하며 저항과 마찬가지로 단위는 옴[Ω]으로 표현하고 알파벳 Z를 사용하여 나타냅니다. 처음 임피던스라는 용어를 접했을 때 '저항이랑 뭐가 다른거지?'라고 의문을 많이 가졌었는데요. 차이는 바로 교류 신호가 가지는 위상 정보에 있습니다. 직류(DC)와 교류(AC) 신호를 생각해보면 직류(DC)는 단순 크기 정보만 가지지만 교류(AC)는 신호의 진동수에 의존하는 위상 정보를 가집니다. 크기와 위상 값을 가지는 것이죠. 따라서 임피던스는 크기 값만 가지는 저항과 달리 교류(AC) 회로에서 저항의 확장 개념으로 생각하시면 될 듯합니다. (직류 회로에서는 위상각이 어차피 0이기 때문에 저항과 임피던스가 같습니다.)

 

좀더 이해를 돕기 위해 '임피던스' , '주파수', '위상'의 관계를 한번 짚고 넘어가겠습니다. 전기가 만들어지는 과정을 생각해보면 일반적으로 발전기를 회전시켜 생성되는 전기를 시간에 따라 아래의 이미지처럼 정현파 형태로 표현한 것입니다.

 

회전 운동에 의한 싸인 웨이브 생성(출처 : 나무위키)

 

수학적으로는 \(v(t)=v_{m}sin(\omega t + \theta )\)와 같은 삼각함수로 표현하는데 여기서 θ는 위상(Phase) 정보를 나타냅니다. 실제로는 신호의 출발 각도보다 특정 회로를 통과하였을 때 위상 변화를 겪게 되고, 그 차이를 해석하면서 회로의 성질을 분석하는데 이용된다고 하네요. 교류(AC) 신호는 회로에서 캐퍼시터 또는 인덕터와 같은 소자에서 주파수(Frequency)에 따라 전압, 전류의 크기가 변경되는 현상들이 나타납니다.(인덕터는 전류를, 커패시터는 전압을 조절하는 역할을 함) RF와 같은 분야에서 L과 C를 보면 보통 이러한 특성을 가지고 Low Pass Filter(LPF)나 High Pass Filter(HPF) 회로를 만들기도 하죠. 본문에서는 따로 필터 내용까지는 다루지 않겠습니다. 따라서 이러한 특성을 고려하였을 때 옴의 법칙(Ohm's Law)을 직류(DC)와 교류(AC)에 적용하면 임피던스는 아래의 이미지처럼 표현할 수 있습니다.

 

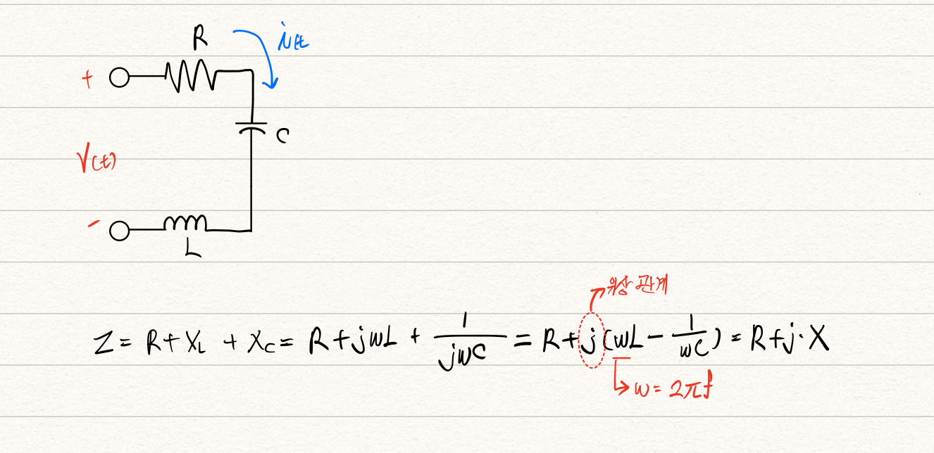
직류(DC)와 교류(AC)에서의 임피던스

 

 

리액턴스(Reactance, 반응 저항)란,

교류 회로에서 인덕터(L, 리액터)과 커패시터(C, 축전기)에 의해 발생하는 전기 저항과 유사한 역할을 하는 물리량이며 임피던스의 허수 성분입니다. 위의 임피던스 이미지에서 교류 회로쪽을 보면 임피던스(Z)는 저항에 리액턴스 성분을 더한 것으로 \(Z=R+jwL+\frac{1}{jwC}=R+j(wL-\frac{1}{wC})\)로 표현하는데 \(wL-\frac{1}{wC}\)이 바로 리액턴스 성분입니다. 리액턴스의 국제 단위는 동일하게 옴[Ω]으로 표현하고 알파벳 X를 사용하여 나타냅니다.

 

리액턴스(Reactance)

 

해당 수식에서도 우리는 인덕터와 커패시터가 주파수와 어떠한 관계를 가지는지 알 수 있습니다. 

¹인덕터의 경우 주파수가 크면 클수록 커지는 비례 관계입니다.

²커패시터의 경우 주파수가 크면 클수록 작아지는 반비례 관계입니다.

 

따라서 유도 리액턴스와 용량 리액턴스를 합한 값이 바로 리액턴스가 되는데요. 임피던스 수식을 보면 용량 리액턴스의 값이 음수로 표시됩니다. 그 이유는 임피던스는 리액턴스의 벡터 합 개념으로 위상 기준으로보면 유도 리액턴스는 전압보다 전류의 위상이 90° 늦고 용량 리액턴스는 전류보다 전압의 위상이 90° 늦기 때문입니다. 

 

자..여기서 처음에 저같은 경우 도통 저 말이 이해가 잘되지 않았었는데요..아마도 원래 전공자가 아니어서 그랬던 것은 아닌가 싶네요. 회로에서 R, L, C별로 벡터를 한번 생각해보면 이해가 되었었는데요. 아래의 그림을 살펴보겠습니다.

RLC에서 전압, 전류 벡터 성분

전압 기준으로 전류와의 위상차를 보면 저항의 경우 따로 위상차가 없는 동상입니다. 인덕터는 전류가 더 늦게 도착하므로 지연되는 것처럼 보이는 지상전류(지연위상 전류)이고, 커패시터는 전류가 먼저 가고 있으니 먼저 진행되는 것처럼 보이는 진상전류(진행위상 전류)입니다. 따라서 이를 벡터 합으로 표현하면 다음과 같은 형태로 표현이 됩니다.

 

이상으로 임피던스와 리액턴스에 대하여 간단히 살펴보았습니다.

 

 

 

 

 

※ 이 글이 도움이 되었다면 "🤍공감" 버튼을 클릭해주세요. 클릭 한번이 글 쓰는데 큰 힘이 됩니다.

공유하기

facebook twitter kakaoTalk kakaostory naver band