MoonNote

반응형
     

 

계단 함수(Step Function)

이전 시간에 뉴런의 입력 신호에 대해 알아보면서 임계치보다 크면 반응하고 작으면 반응하지 않는다고하여 '반응 조건'을 나타내는 표현에 대해 살펴보았습니다.

 

식 1-1

 

위의 식을 시각화하여 그래프로 나타내면 아래와 같이 표현이 됩니다.

반응 조건 그래프

 

이를 일반화하여 이산 변수 t에 대한 함수로 나타내면 [식 1-2]와 같으며 이때 t는 정수입니다.

식 1-2

 

이처럼 0보다 작은 실수에 대해서는 0, 0보다 큰 실수에 대해서는 1을 갖는 함수를 우리는 '단위 계단 함수'라고 부르고 있습니다.

단위 계단 함수, y = u(t)

단위 계단 함수 u(t)를 이용해서 [식 1-1]을 다음과 같은 하나의 식으로 표현할 수 있습니다.

식 1-3, 반응 조건에 관한 식

 

위의 단위 계단 함수에서 인수를 나타내는 t를 우리는 뉴런의 가중 입력이라고 부릅니다.

 

 

시그모이드(Sigmoid)

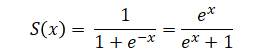
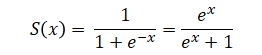
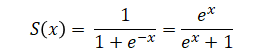
활성화 함수(Activation Function)의 대표적인 함수가 시그모이드(Sigmoid) 함수입니다. 통계학에서도 Logistic 분포, Normal 분포, t-분포에서도 시그모이드 곡선이 자주 등장하는데 어떤 사건이 일어날 가능성을 확률로 표현한 것이라 할 수 있습니다. 시그모이드는 S자형 곡선을 갖는 수학 함수로 아래의 수식으로 정의됩니다.

식 1-4, 시그모이드 함수

 

시그모이드 함수, S(x)

 

시그모이드 함수는 2가지 특징을 가지게되는데 다음과 같습니다.

- 성공과 실패를 구분하는 부분은 경사가 급하고 나머지 부분에서는 경사가 완만하다.

- y=1, y=0 두 평행선이 점근선이고 치역은 (0,1)이다. 즉 위와 같은 활성 함수의 함숫 값은 성공 확률이라는 의미로 해석할 수 있다. (1을 특정 조건에 대한 성공이라고 정의하였다면 성공 확률로 해석한다.)

 

가장 중요한 특징은 연속적인 구간에서 미분 가능한 형태를 뛴다는 점이며 함수 곡선의 형태나 특징에서 알 수 있듯이 시그모이드 곡선에서 x 값을 구하게되면 확률 P의 값을 얻을 수 있게 되는 것이죠. 여기서 P란 어떤 사건이 일어날 확률을 의미하며 시그모이드 함수를 Odds Ratio로 표현합니다.

- 일어날 확률 : P(X)

- 일어나지 않을 확률 : 1 - P(X)

- 0 ≤ P(X) ≤1

 

※ Odds Ratio : 어떤 사건이 일어날 확률과 일어나지 않을 확률의 비율

Odds Ratio 수학적 표현

 

 

위 내용을 퍼셉트론에 적용해보면 다음과 같은 이미지처럼 된다고 볼 수 있겠네요.

시그모이드 함수와 퍼셉트론

 

 

 

 

 

※ 이 글이 도움이 되었다면 "🤍공감" 버튼을 클릭해주세요. 클릭 한번이 글 쓰는데 큰 힘이 됩니다.

공유하기

facebook twitter kakaoTalk kakaostory naver band